It is safer to be feared than loved, observed Niccolò Machiavelli (a man who knew more of one than the other). Donald Trump may soon learn that it is safer to be hated than ridiculed.
President Trump has never enjoyed wide popularity. He began his second term with an initial approval rating lower than any other incoming president since such polling began in 1953. And that relatively low number was higher than any rating he enjoyed in his first term, when he became the only president in the history of Gallup polling to never break the 50% approval level. Yet he has remained a force to be reckoned with because he is very good at handling hostility.
But handling hate is one thing. Handling laughter is another.
As we approach the second quarter of the first year of Trump’s second term, the biggest threat to his administration’s success is coming into focus. It is not resistance. It is not revulsion. It is ridicule. The Trump administration is in danger of becoming a laughingstock.
The most recent example is the Trump policy on tariffs. Now the arguments in favor of imposing high tariffs on other nations may not be strong but they are at least respectable. After all, if the case against high tariffs were bullet-proof, no other nations would adopt them. Yet many do.
But the manner in which the administration has gone about calculating and imposing tariffs leaves the impression that the Trump team are a bunch of bumblers.
On “Liberation Day” (April 2 — they waited a day after April 1 for obvious reasons), President Trump announced the most sweeping tariff hike since the Smoot Hawley Tariff Act of 1930. It called for a universal 10% tariff on all imported goods to take effect on April 5, and additional tariffs on targeted countries on April 9. (The latter were subsequently “paused” for 90 days.)
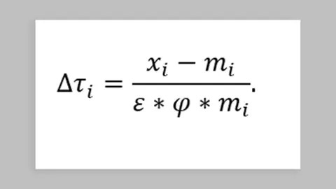
How were these additional tariffs calculated? The administration circulated a super-scientific formula, loaded with Greek symbols, apparently designed to demonstrate their mathematical acumen and to reassure the public that very smart people were in charge. Here it is:
Impressive? Not once you delve into it.
The epsilon symbol (ε) is meant to represent price elasticity of import demand, which the U.S. Trade Representative set at 4. The phi symbol (φ) is meant to represent the elasticity of import prices with respect to tariffs, which the Representative set at 0.25. If those meanings seem arcane, don’t worry. They don’t matter. Because when you multiply the two together you get 1! Which means that the two factors have no effect on the outcome of the formula. If not for their aura of academic glitz, they would have been discarded.
What remains in the formula is Xi (total exports to that country from the U.S.) minus mi (total imports from that country to the U.S.) divided by mi again. So the formula just figures our trade deficit then divides that number by our imports from that country. The result is designated the “reciprocal tariff calculation.”
The formula takes no note of the foreign country’s relationship with the U.S. It doesn’t matter whether it is friend or foe, or whether it tariffs our products or not. Not surprisingly, it generates weird results. Our ally Israel, which imposes no tariffs on U.S. goods, was slapped with a 17% tariff. Our enemy Iran’s tariff was set at a lower 10%.
It gets worse.
The tiny nation of Lesotho was assigned a 50% reciprocal tariff, the highest of any announced on “Liberation Day.”
Lesotho, a landlocked country in southern Africa, has an annual per capita GDP of $975 (about $2.67 per day). Yes, the United States has a trade deficit with the country. That’s because Lesotho’s impoverished people cannot afford to buy our cars, beer, or bourbon. They probably would if they could. The Trump administration could impose a 50% tariff – or 500% for that matter — and it wouldn’t matter. Lesothians still wouldn’t import our cars or beverages – because they have no money to pay for them. $2.67 per day will take you only so far.
But that’s not the worst (or dumbest) of the tariff rollout.
Consider the poor people of the Heard and McDonald Islands. Well, actually, don’t. You can’t. There are no people on the Heard and McDonald Islands. Those islands are an Australian territory populated only by penguins and seals, who, in that stubborn manner typical of semi-aquatic creatures, refuse to import any American goods. But compared to Lesotho, they got off easy. Their tariff was set only at 10%.
One doesn’t have to be a Trump critic to recognize the lunacy of their tariff policy. Elon Musk called Peter Navarro, the administration’s most fervent tariff advocate, a “moron” and “dumber than a sack of bricks.” When your own people are implying that your trade policies are idiotic, you know you’re in trouble.
When they are not mocking each other, Trump team members are trying to figure out their own game plan. U.S. Trade Representative Jamieson was in the middle of congressional testimony, defending the tariffs, when news broke that Trump had just tweeted that he was imposing a 90-day pause on those same tariffs. “This is amateur hour,” exclaimed an exasperated Congressman Steven Horsford.
If its tariff policy were the only laughable element in the Trump second term, the administration might not need to worry about ridicule. Every presidency is entitled to its quotient of comedy. But tariff policy is not an isolated example. It is a typical one.
Before Liberation Day, there was the infamous Houthi conference, in which the administration’s top national security personnel discussed an ongoing military operation on a Signal Group chat, to which a hostile (but fortunately, quiet) journalist was accidentally invited.
Now nobody stands up for the Houthis. Not even Trump’s most venomous opponents have criticized him for authorizing the strike. A widely held consensus deems it fitting and proper to kill the Houthis. But people expect such killings to be conducted sensibly. The critics’ reaction was worse than opposition. It was amusement. “Bozos.” “Idiots.” “Big, stupid.” “Unbelievably stupid.” “Funny if it weren’t so scary.” These were common reactions. Here, as in most cases, Megyn Kelly and Hillary Clinton could not agree. One called the incident “dumb” and the other called it “dumber.” But that isn’t really much of a disagreement.
These embarrassments were preceded by others.
The President insists on calling the Gulf of Mexico the Gulf of America, and he tried to punish the Associated Press for refusing to go along with the change. But why stop at the Gulf of America? By that logic, shouldn’t the state of New Mexico become New America? Why aren’t the Northeastern states currently known as New England compelled to change their group name to New America? Why are we even discussing this?
The President keeps threatening to make ultra-progressive Canada our 51st state. Doesn’t he realize that if that were to happen, Republicans would probably lose control of both houses of Congress – and might never win the presidency again?
And where did the notion of purchasing Greenland come from? Security reasons? We already operate Pituffik Space Base (formerly, Thule Air Base) there. Trump insists on Truth Social that it is high time to “MAKE GREENLAND GREAT AGAIN!” But polls show that nearly all of the island’s 56,865 Greenlanders have no interest in becoming GREAT AGAIN, at least not as Trump envisions greatness.
While Trump deserves credit for thinking outside the box on Gaza, what in the world possessed him to share on Truth Social a satiric AI-generated video featuring bearded bikini-clad dancers, a hummus-eating Elon Musk, a glitzy Trump Gaza hotel, and a gigantic golden statue of himself?
By taking on outlandish causes, by setting himself up for ridicule, by staffing senior positions with a confederacy of dunces, Trump endangers his presidency, and risks making it a laughingstock. During the campaign for his first term, the journalist Salena Zito noted that the press takes Trump literally but not seriously, while his supporters take him seriously but not literally. At the early stages of his second term, there is very real danger that few people will take him literally, and absolutely no one will take him seriously.



Bullshit in a leftist bubble. 🙄
Only the hacks that kept silent about Biden’s mental disability are laughing.
I support most of Trump’s policies, having said that, this is a great (and quite humorous) article.